-
URLLC Resource Allocation / Queuing(논문 리뷰)최신 기술동향/5G & 6G 통신 기반 기술 2020. 9. 18. 10:04
이번에 리뷰할 논문은 5G URLLC HARQ and Resource Allocation (논문 리뷰) 에서 다뤘던 논문 [1]의 후속논문이다. 해당 논문은 5G URLLC를 만족하기 위해서 얼마나 많은 Bandwidth가 필요한지에 대해 다뤘다. 이를 위해서 HARQ의 재전송횟수를 Control하면서, Channel Use가 가장 적어지는 재전송횟수 m을 찾는다. 하지만, 리뷰에서 언급했던 바와 같이, 당장 보낼 수 있는 Bandwidth가 없으면, Packet을 Drop시킨다고 가정한다. 따라서, URLLC의 Requirement를 만족하기 위해, 추가로 Bandwidth를 할당받아 놓아야 하고, 리뷰의 Future work에서 이를 언급했었다. 이번 논문에서는 당장 보낼 Bandwidth가 없어도 Drop시키지 않고, Queuing System을 도입하여, 더 적은 Bandwidth로 시스템을 구성할 수 있는 방법에 대해 다루고 있다.
제목: URLLC Mode Optimal Resource Allocation to Support HARQ in 5G Wireless Networks [2]
저널명 : IEEE ACCESS
출판년도 : July, 2020
저자 : Hyeondeok Jang, Junsung Kim, Wonsuk Yoo, Jong-Moon Chung
Introduction
이 논문의 선행논문 [1]은 5G URLLC HARQ and Resource Allocation (논문 리뷰)에서 다뤘다. URLLC의 Requirement를 만족하기 위해 Transmission Time과 Feedback Delay로 Delay contraint를 구성했다. 총 m번의 재전송을 고려하기 때문에 m(T_t+T_f)가 delay contraint인 1ms보다 작거나 같다. 또한, Decoding Failure probability를 p라 했을 때, m번의 마지막 재전송에도 전송이 실패할 확률인 p^m이 10^-5보다 작거나 같다.
이 때, 세웠던 가정이 URLLC를 위해서는 바로 Packet이 전송되어야 하기 때문에 전송할 수 있는 Bandwidth가 없으면 해당 Packet을 Drop시킨다는 가정을 했다. 이를 위해 Square-Root Staffing Rule이라는 개념을 도입했다. Reliability를 만족하기 위해, 추가적으로 할당받을 Bandwidth를 Traffic의 Mean/Variance을 고려해서 모델링한다. 이 때, 최적화 식이 parameter에 대해서 Intractable하기 때문에 이를 두 개의 최적화식으로 나눈다. Traffic이 클 때는 Variance식을 무시하고, mean부분만을, Traffic이 작을 때는 mean식을 무시하고 Variance 부분을 최적화 한다.
이 논문의 문제점은 Square-Root Staffing Rule을 적용하여 최적화는 시킬 수는 있겠지만, Queuing delay를 인정하지 않아, Bandwidth를 추가로 할당 받아놓아야 한다는 점이다. 처음엔 이 부분이 Critical하지 않을 수 있겠지만, URLLC를 필요로 하는 System이 많아지면, 바로 전송을 하지 못하는 상황이 생길 수 밖에 없다. 또한, Traffic이 클 때와 작을 때를 나눠서 최적화를 했기 때문에 그 중간 지점에 대해서는 취약하다는 점이 있을 것이라는 생각을 했다. 이를 위해 Queuing System을 적용하면 조금 더 성능이 향상된 시스템을 설계할 수 있지 않을까라는 생각을 Future Work에 담았었다.
System Modeling
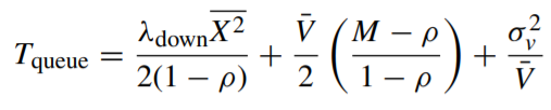
System Modeling의 기본 개념은 이전 [1]논문과 비슷하다. 5G URLLC HARQ and Resource Allocation (논문 리뷰) 에 언급된 것처럼, Channel Use라는 개념을 넣어서, Information Bit를 보내기 위해 필요한 Transmission delay와 Bandwidth를 나타낸다. Feedback delay는 [1]논문과 같이 Constant라고 고정했다. 여기까지는 큰 변화가 없지만, 이 논문에서는 Transmission delay를 이용해서 Queuing Delay를 계산한다. 이를 위해, Pollaczek–Khinchine formula (P-K Formula)를 이용한다. P-K Formula는 M/G/1 Queuing System에서 Service Time의 정확한 분포를 몰라도, Service Time의 1차 모멘텀 (평균)과 2차 모멘텀을 알고 있으면, Queing delay를 계산할 수 있는 식이다. 저자는 지금 바로 전송 가능한 Bandwidth가 없어도 Queuing delay를 포함한 전체 Delay만 1ms보다 작으면 된다고 말한다. 즉, URLLC의 Reliability Requirement를 만족하기 위해, Bandwidth를 추가로 할당받아 놓을 필요가 없다는 얘기다.

System Modeling 이렇게 P-K Formula를 적용해서 Queuing의 식을 세우면서 Vacation에 대한 설명도 추가한다. Downlink 데이터를 보내는데, 1 Slot(=14 Symbols)에서 Uplink를 보내는 시간을 Server가 Idle해지는 시간 Vacation으로 지정했다. 이렇게 시스템을 설계했지만, [1] 논문과의 성능비교를 위해서, Perfomance Evaluation 부분에서는 Vacation을 무시했다. 이후에 Queuing Delay까지 포함한 전체 Delay가 Delay Constraint보다 작다는 것과 p^m이 전체 Reliability Constraint보다 작다는 것으로 식을 세웠다. 이를 만족하기 위한 식을 2차 부등식 형태로 정리하여, 최소의 W값을 이 System의 Solution으로 세웠다.

Queuing Delay based on P-K Formula 
Optimization Formula Conclusion
이 논문은 [1] 논문에 Queuing System을 적용하여 추가로 할당되는 Bandwidth를 최소화하고자 했다. 아직 URLLC를 요구하는 Application이 많지 않았을 때는, URLLC의 Queuing Delay를 무시할 수 있다는 말이 맞다. URLLC Traffic이 다른 데이터들 (e.g., eMBB)에 대해서 우선순위를 갖고, 끼어들어 보낼수도(Pre-emption) 있기 때문이다. 하지만 점차 URLLC를 요구하는 시스템이 많아짐에 따라서, 이를 위한 Queuing System 도입이 필요하다고 보았다. 이렇게 Queuing delay까지 고려함으로써, Traffic Variance로 인한 Bandwidth 추가 할당을 최소화할 수 있었다는데 의의가 있다.
하지만, P-K Formula를 쓰려다 보니, M/G/1 모델을 적용했다는 점, 5G NR의 표준을 최대한 반영하려 했지만, 조금 더 명확하게 표준을 적용할 필요하다는 약점이 있다. 이후의 Future Work에서는 Flexible Numerlogy를 조금 더 고려한다던지, M/G/K 모델을 적용한다던지 다양한 주제들이 나올 수 있을 것으로 생각된다.
Reference
[1] H. Jang, J. Kim, W. Yoo and J. Chung, "URLLC Mode Optimal Resource Allocation to Support HARQ in 5G Wireless Networks," in IEEE Access, vol. 8, pp. 126797-126804, 2020, doi: 10.1109/ACCESS.2020.3007902.
[2] A. Anand and G. de Veciana, "Resource allocation and HARQ optimization for URLLC traffic in 5G wireless networks", IEEE J. Sel. Areas Commun., vol. 36, no. 11, pp. 2411-2421, Nov. 2018.
'최신 기술동향 > 5G & 6G 통신 기반 기술' 카테고리의 다른 글
AI 기반 Cellular Communication 기술 동향 리뷰 (2) 2020.11.24 Terahertz MAC Protocol Survey 논문 리뷰 (0) 2020.10.02 DRL Resource Scheduling in 5G MAC (논문 리뷰) (0) 2020.09.13 5G 시장 및 career에 대한 생각과 6G 연구 (5) 2020.08.22 AI-Enabled Cellular Network 논문 리뷰 (5G/6G) (2) 2020.08.14