-
5G URLLC HARQ and Resource Allocation (논문 리뷰)최신 기술동향/5G & 6G 통신 기반 기술 2020. 7. 6. 07:15
이 논문은 5G URLLC를 지원하기 위해, HARQ의 최대 전송횟수를 Control하여, 필요한 Bandwidth Requirement를 최소화하는 주제를 담고 있다.
제목: Resource Allocation and HARQ Optimization for URLLC Traffic in 5G Wireless Networks
저널명 : IEEE Journal on Selected Area in Communications
출판년도 : June, 2018
저자 : Arjun Anand, Student Member, IEEE, Gustavo de Veciana, Fellow, IEEE.
Abstarct & Introduction
URLLC의 Reliability와 Latency를 만족하기 위해서, Numerology를 Control하기 때문에, 긴급한 메시지는 넓은 Frequency와 짧은 Time을 차지하는 'Tall' Transmission을 하게 된다. 이 논문에서는 OFDMA방식에서 HARQ를 사용할 때, 얼마나 많은 Bandwidth가 필요할지에 대한 분석을 담고 있다. 이를 위해서 HARQ의 재전송을 고려했을 때의 Total Latency를 수식화한다.
System Modeling
이 논문에서는 시스템에 W 만큼의 Bandwidth가 있고, 매초 λ개의 packet이 들어온다고 가정한다. packet의 size에 따라서 packet이 전송되는 Transmission delay도 달라지기 때문에, 이 시스템은 M/G/c queuing system이라는 가정을 하게된다. 풀어서 쓰면, Packet은 λ의 arrival rate로 시스템으로 들어오고, service time은 packet의 size에 따라서 어떤 분포를 가질 수 있으며, 서버는 여러 개라는 Queuing 시스템의 가정이다. Queuing system에 대한 글은 나중에 별도로 설명하도록 하고 이정도만 알고 넘어가자. SINR이 같은 UE끼리 C개의 Class로 묶여있기 때문에 각 Class는 같은 SINR 상황에 있다고 가정한다. 이 논문은 Channel use라는 살짝 이해하기 힘든 개념을 도입한다.
앞에서 말한바와 같이 URLLC의 Packet이 작기 때문에, 많은 논문들에서 'Finite Block Length'라는 가정을한다. 이에 대한 대표적인 논문이 [1]에 들어있는데, 이 논문에서 다음과 같은 식을 유도해낸다. L bits 만큼의 information bits가 있을 때, SINR과 decoding 실패확률 p가 있다면, channel use r이 필요하다는 식이다. Channel use에 대한 식을 구하기 위해 우리는 L, SINR, p의 분포를 알아내고, 이 값을 통해 Channel use를 구할 수 있는 것이다. 그럼 이렇게 구한 Channel use가 어떻게 사용되는 걸까?


Channel use는 Transmission Latency s와 전송에 필요한 Bandwidth h의 곱 형태로 나타내게 된다. Channel use라는 개념이 직관적으로 이해가 잘 안 돼서 여러 논문과 문서들을 찾아본 결과, [2] 논문에서 다음과 같이 설명하는 것을 볼 수 있다.
'Let L and B be the transmission latency and system bandwidth, respectively. Thus τ = LB, which is also referred to as the 'channel uses', represents the number of transmitted symbols or the size of a coherence block.'
즉, Time-Fruequency Plane에서 직사각형의 넓이가 Channel use라고 생각하면 된다. 정리하면, L, SINR, p의 분포를 통해 r을 알아내고, 이를 통해 h를 최소화하는 방향으로 식이 전개될 예정임을 알 수 있다.
이 논문에서는 Immediate scheduling이라는 가정을 하고있다. URLLC를 위해서는 Scheduling이 되자마자 바로 전송되어야하기 때문에, 바로 전송할 수 있는 Bandwidth가 없다면, 해당 packet은 drop되어서 Packet Error를 일으키게 된다는 가정이다.
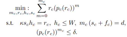
최대 재전송 횟수를 m이라 했을 때, 최종적인 Packet Error Rate (PER)은 m번을 전송해도 Decoding에 실패할 확률이다. 따라서, URLLC의 Requirement를 만족시키기 위해서는


라는 식을 만족해야한다. 위 수식은 m번을 전송했을 때 PER이 URLLC의 Requirement보다 작아야한다는 점, 아래 수식은 s의 Transmission Time과 f의 feedback-delay를 m번 거쳐도 d의 Latency Requirement보다 작아야 한다는 내용이다.
[3]의 선행논문에 따르면, 이런 상황을 만족시키기 위해서는 Bandwidth W가



를 만족해야한다. 살짝 풀어서 설명하자면, URLLC를 만족하기 위해선 데이터를 전송하기 위해 평균적으로 할당받아놔야하는 Bandwidth와 Traffic이 갑자기 많이 들어오는 경우를 고려해서 추가로 할당받아놔야하는 Variance Bandwidth 부분으로 구성되어 있다. 이 논문에서는 두 항을 한꺼번에 최적화시키는 것이 수식적으로 힘들다고 판단하여, packet arrival rate가 클 때와 작을 때를 나눠서 최적화를 진행한다.
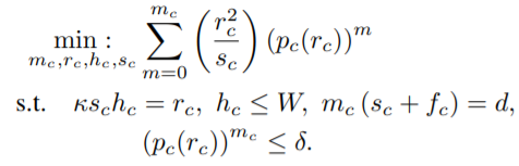
Packet arrival rate가 크면, 평균적으로 할당받아놓을 Bandwidth의 비중이 더 크기 때문에 Mean Utility 부분을 최소화하는 방향으로 최적화를 진행한다. 따라서, 다음과 같은 최적화식을 만족해야한다.

Packet arrival rate가 작으면, Variance가 커지기 때문에, Variance Utility를 최소화하는 과정이 진행된다. 이 때는, 다음과 같은 최적화식을 만족해야한다.

이렇게 함으로써 Bandwidth requirement를 최소화하는 식을 도출하고, m에 대한 등비급수를 풀어서 그래프를 생성한다.

Vaiance Utility를 통한 최적화 (1 packet/ 1ms) 
Mean Utility를 통한 최적화 (100 packets / 1ms) 간단한 등비급수 형태가 나오는 식이 나왔기 때문에 다른 논문에서 진행하는 미분에 의한 최적화나, 특별한 기법을 사용하진 않았다.
Conclusion
이 논문에서는 Bandwidth 최적화, HARQ를 이용한 URLLC에 필요한 Channel use라는 개념과 이를 통해 단순화된 System Modeling의 기법이 인상적이었다. Channel use라는 개념과 해당 수식은 URLLC Resource Allocation을 할 때 사용할 수 있을 것이라는 생각이 들었다.
내가 생각하는 Future Works
수식의 전개는 틀릴 일이 거의 없기 때문에, 많이 보는 부분이 '가정 (Assumption)'이다. 내가 생각했던 가정에 대해 생각해볼 점에 대한 포인트는 다음과 같다.
1) 이 논문에서는 Feedback delay가 0.125 ms로 고정되어 있다고 가정한다. 하지만, 3GPP의 표준화 문서나 다른 논문들을 봐도 HARQ의 문제점으로 꼽히는 부분이 이 Feedback delay에 대한 부분이다. Feedback delay는 Rx의 Capability이나 uplink 타이밍에 따라서, 훨씬 커질 수 있고, 최대 재전송횟수가 8~9까지 설정되기는 힘들어보인다. 빠르게 Feedback을 보낼 수 있도록, uplink 를 통한 Feedback을 보낼 수 있게 하는 Self-Contained slot이 있지만, 이에 대한 추가적인 가정이나 설명이 필요해보인다.
2) 여기서는 전송 가능한 Frequency가 없으면 URLLC를 위해 바로 Drop시킨다고 가정하지만, queuing delay를 고려하여, 1ms 안에만 들어오면 되도록 설계하면 추가적인 Variance Bandwidth를 줄이고, 더 적은 Bandwidth Requirement로 service가 가능할 것으로 기대된다.
Reference
[1] Y. Polyanskiy, H. V. Poor, and S. Verdu, “Channel coding rate in the finite blocklength regime,” IEEE Transactions on Information Theory, vol. 56, no. 5, pp. 2307–2359, May 2010.
[2] H. Yang, K. Zhang, K. Zheng and Y. Qian, "Joint Frame Design and Resource Allocation for Ultra-Reliable and Low-Latency Vehicular Networks," in IEEE Transactions on Wireless Communications, vol. 19, no. 5, pp. 3607-3622, May 2020, doi: 10.1109/TWC.2020.2975576.
[3] M. Harchol-Balter, Performance Modeling and Design of Computer Systems: Queueing Theory in Action. Cambridge University Press, 2013
'최신 기술동향 > 5G & 6G 통신 기반 기술' 카테고리의 다른 글
LTE-V2X vs NR-V2X / TR 37.985 / Release 16 (0) 2020.07.17 5G를 위한 다양한 기술들 (2) 2020.07.06 5G Physical Layer survey (논문 리뷰) (0) 2020.07.06 5G Communication Survey (논문 리뷰) (0) 2020.07.06 5G 논문 리뷰 시작 (0) 2020.07.06